| Status de disponibilidade: | |
|---|---|
| Quantidade: | |
Atmp 50%
SINOBIO
29319090
O ácido fosfônico do amino trimetileno (ATMP), com CAS No. 6419-19-8, é um produto químico de tratamento de água premium projetado por SINOBIO, um nome confiável na fabricação de produtos químicos industriais. Como membro -chave da família de ácido organofosfônico, o AMMP 50% é formulado para oferecer inibição excepcional em escala, proteção contra corrosão e desempenho quelante, tornando -o indispensável para várias aplicações industriais.
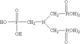
Com uma fórmula molecular de n (ch₂po₃h₂) ₃ e um peso molecular de 299,05, esta solução líquida (Modelo: ATMP 50%) atende a padrões estritas de qualidade, garantindo confiabilidade e consistência em todos os lote. Classificado sob a ONU 3265 8/PG III para transporte e manuseio seguros, ele foi projetado para otimizar a eficiência operacional em sistemas de água e prolongar a vida útil dos equipamentos industriais.
O ATMP 50% se destaca por suas propriedades químicas únicas, o que a torna uma solução versátil para desafios complexos de tratamento de água:
Inibição superior de quelação e escala : sua forte capacidade de quelante tem como alvo íons metálicos (por exemplo, cálcio, magnésio) na água, impedindo a formação de escala - principalmente carbonato de cálcio, uma das escalas mais comuns e problemáticas em sistemas industriais.
Estabilidade química excepcional : resistente à hidrólise, mesmo em condições adversas de água, o ATMP 50% mantém sua eficácia em uma ampla gama de temperaturas e níveis de pH, garantindo o desempenho a longo prazo.
Inibição de corrosão potente : em concentrações mais altas, forma um filme de proteção em superfícies metálicas, equipamentos de proteção e oleodutos da corrosão em ambientes agressivos, como usinas térmicas e refinarias de petróleo.
As especificações a seguir garantem a qualidade e o desempenho de SINOBIO atmp 50%:
Item | Padrão |
Aparência | Solução aquosa clara, incolor a pálida |
Teor de ácido ativo | 50,0% min |
Cloreto (como cl⁻) | 1,0% máx |
pH (solução de água a 1%) | 2.0 máx |
Ferro (Fe) | 20,0 mg/L máx |
Densidade (20 ° C) | 1,30 g/cm³ min |
O ATMP 50% é amplamente utilizado entre os setores por seus benefícios multifuncionais:
Nas usinas térmicas, refinarias e instalações de fabricação, o ATMP 50% controla o acúmulo de escala em torres de resfriamento e trocadores de calor, reduzindo os custos de consumo e manutenção de energia. Funciona sinergicamente com outros ácidos organofosfônicos, ácidos policarboxílicos e sais para formar formulações completas de tratamento de água alcalina orgânica, adaptáveis a diversas condições do sistema.
Para sistemas de injeção de água no campo de petróleo e redes de oleodutos, o ATMP 50% inibe a corrosão e a escala, garantindo fluxo desobstruído e protegendo a infraestrutura cara contra a degradação. Isso minimiza o tempo de inatividade e estende a vida operacional de ativos críticos.
Como um agente quelante de alto desempenho, estabiliza as soluções de corante sequestrando íons metálicos, impedindo a descoloração e garantindo a captação uniforme de corante, aumentando assim a qualidade do produto na fabricação têxtil.
O ATMP 50% é usado em processos de pré-tratamento de metal para remover óxidos e formar uma camada protetora, melhorando a adesão para revestimentos e impedindo a corrosão pós-tratamento.
Dosagem recomendada : 5–20 mg/L para inibição de escala geral; 20–80 mg/L para proteção aprimorada por corrosão.
Opções de embalagem : Disponível em tambores de 250 kg (20 mt por 20'GP com paletes) ou 1250 kg de IBC (25 mt por 20 'GP). A embalagem personalizada está disponível mediante solicitação.
Armazenamento : armazene em uma área fresca, seca e bem ventilada. A vida útil é de 1 ano quando armazenada corretamente.
SINOBIO ATMP 50% (CAS 6419-19-8) é superior a um produto químico-é uma solução projetada para otimizar operações industriais, reduzir custos e garantir a sustentabilidade. Confie na experiência de SINOBIO para elevar seus processos de tratamento de água e inibição de corrosão.


O ácido fosfônico do amino trimetileno (ATMP), com CAS No. 6419-19-8, é um produto químico de tratamento de água premium projetado por SINOBIO, um nome confiável na fabricação de produtos químicos industriais. Como membro -chave da família de ácido organofosfônico, o AMMP 50% é formulado para oferecer inibição excepcional em escala, proteção contra corrosão e desempenho quelante, tornando -o indispensável para várias aplicações industriais.
Com uma fórmula molecular de n (ch₂po₃h₂) ₃ e um peso molecular de 299,05, esta solução líquida (Modelo: ATMP 50%) atende a padrões estritas de qualidade, garantindo confiabilidade e consistência em todos os lote. Classificado sob a ONU 3265 8/PG III para transporte e manuseio seguros, ele foi projetado para otimizar a eficiência operacional em sistemas de água e prolongar a vida útil dos equipamentos industriais.
O ATMP 50% se destaca por suas propriedades químicas únicas, o que a torna uma solução versátil para desafios complexos de tratamento de água:
Inibição superior de quelação e escala : sua forte capacidade de quelante tem como alvo íons metálicos (por exemplo, cálcio, magnésio) na água, impedindo a formação de escala - principalmente carbonato de cálcio, uma das escalas mais comuns e problemáticas em sistemas industriais.
Estabilidade química excepcional : resistente à hidrólise, mesmo em condições adversas de água, o ATMP 50% mantém sua eficácia em uma ampla gama de temperaturas e níveis de pH, garantindo o desempenho a longo prazo.
Inibição de corrosão potente : em concentrações mais altas, forma um filme de proteção em superfícies metálicas, equipamentos de proteção e oleodutos da corrosão em ambientes agressivos, como usinas térmicas e refinarias de petróleo.
As especificações a seguir garantem a qualidade e o desempenho de SINOBIO atmp 50%:
Item | Padrão |
Aparência | Solução aquosa clara, incolor a pálida |
Teor de ácido ativo | 50,0% min |
Cloreto (como cl⁻) | 1,0% máx |
pH (solução de água a 1%) | 2.0 máx |
Ferro (Fe) | 20,0 mg/L máx |
Densidade (20 ° C) | 1,30 g/cm³ min |
O ATMP 50% é amplamente utilizado entre os setores por seus benefícios multifuncionais:
Nas usinas térmicas, refinarias e instalações de fabricação, o ATMP 50% controla o acúmulo de escala em torres de resfriamento e trocadores de calor, reduzindo os custos de consumo e manutenção de energia. Funciona sinergicamente com outros ácidos organofosfônicos, ácidos policarboxílicos e sais para formar formulações completas de tratamento de água alcalina orgânica, adaptáveis a diversas condições do sistema.
Para sistemas de injeção de água no campo de petróleo e redes de oleodutos, o ATMP 50% inibe a corrosão e a escala, garantindo fluxo desobstruído e protegendo a infraestrutura cara contra a degradação. Isso minimiza o tempo de inatividade e estende a vida operacional de ativos críticos.
Como um agente quelante de alto desempenho, estabiliza as soluções de corante sequestrando íons metálicos, impedindo a descoloração e garantindo a captação uniforme de corante, aumentando assim a qualidade do produto na fabricação têxtil.
O ATMP 50% é usado em processos de pré-tratamento de metal para remover óxidos e formar uma camada protetora, melhorando a adesão para revestimentos e impedindo a corrosão pós-tratamento.
Dosagem recomendada : 5–20 mg/L para inibição de escala geral; 20–80 mg/L para proteção aprimorada por corrosão.
Opções de embalagem : Disponível em tambores de 250 kg (20 mt por 20'GP com paletes) ou 1250 kg de IBC (25 mt por 20 'GP). A embalagem personalizada está disponível mediante solicitação.
Armazenamento : armazene em uma área fresca, seca e bem ventilada. A vida útil é de 1 ano quando armazenada corretamente.
SINOBIO ATMP 50% (CAS 6419-19-8) é superior a um produto químico-é uma solução projetada para otimizar operações industriais, reduzir custos e garantir a sustentabilidade. Confie na experiência de SINOBIO para elevar seus processos de tratamento de água e inibição de corrosão.

